可控整流电路知识介绍
变频器中的整流电路主要有不可控整流电路和可控整流电路两种。
可控整流电路是在整流电路中釆用可控整流器件或电路,如晶闸管、IGBT等,其中晶闸管可控直流电流为主流电路。可控整流电路其整流输出电压大小可以通过改变整流或 开关器件的导通、关断时间来调节。
全部由晶闸管构成的控制电流,称为全控整流电路,由晶闸管与晶体二极管混合构成 的控制电路,则称为半可控整流电路。
一、单相全控半波整流电路。
下图所示为单相全控半波整流电路。

晶闸管输出的电流(能量)受触发脉冲的控制,在正半周触发脉冲出现的时间(相位)决定VS导通的时间,图中触发脉冲出现在t1时刻,VS则在t1〜t2内导通,0〜t1时间内VS不导通。的时间越长,VS输出的能量越多,因而可实现可控整流。
单向晶闸管(SCR)是指其触发后只允许一个方向的电流流过的半导体器件,相当于一个可控的整流二极管。它是由P-N-P-N共4层3个PN结组成的。下图所示为单向晶闸管的实物外形及导通和截止特性。

二、单相半控桥式整流电路。
下图所示为单相半控桥式整流电路。在桥式整流电路的4个二极管中,有两个整流二极管用晶闸管取代。

单相半控桥式整流电路的工作过程:
在0〜t1期间,U2电压为正半周其极性是上正下负时,即a点为正、b点为负,由于无触发信号到晶闸管VS1的G极,VS1不导通,VD4也不导通。
在t1~t2期间,U2电压的极性仍是上正下负,t1时刻有一个触发脉冲送到晶闸管VS1和VS2的G极,VS1导通,VS2虽有触发信号,但因为阳极端为负电压,因此VS2不能导通。VS1导通后,VD4也会导通,有电流流过负载Rl,电流途径是:a点-VS-Rl-VD4-b 点。
在t2时刻,U2电压为0v,晶闸管VS1由导通转为截止。
在t2~t3期间,区电压变为负半周,其极性变为上负下正,由于无触发信号到晶闸管 VS2的G极,VS2、VD3均不能导通。
在t3时刻,S电压的极性仍为上负下正,此时第2个触发脉冲送到晶闸管VS1、VS2的G极,VS2导通,VS1因处于反向偏置状态而无法导通。VS2导通后,VD3也导通,有电流流过负载Rl,电流途径是:b点-VS2-RL-VD3-a点。
在t3〜t4期间,VS2、VD3始终处于导通状态。
在t4时刻,U2电压为0,晶闸管VS2由导通转为截止。以后电路会重复0〜t4期间的工作过程,结果会在负载Rl上得到图(b)所示的直流电压Ul。
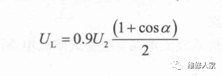
单相半控桥式整流电路的计算方法。
改变触发脉冲的相位,电路整流输出的脉冲直流电压Ul大小也会发生变化,其值如下

三、三相全控桥式整流电路。
下图所示为三相全控桥式整流电路的结构和输岀波形。
该整流电路的结构与功能与三相桥式整流电路形似,只是将6只整流二极管换为6只晶闸管, 晶闸管的导通需要触发信号,因而可控。

图(a) 所示的三相全控桥式整流电路每相中的晶闸管在导通周期受到触发信号 的作用才能导通,因而每个导通周期的导通时间是可控的,这样就可以控制整流电路输出的总能量(电流)。
三相全控桥式整流电路工作原理如上图 (c)所示,将三相整流电路分解为三个单相的整流电路,整个三相可控整流电路的输出为三个单相输出电流合成的效果,釆用这种可控整流方式,可以控制整流输出的电压(或能量)。
同类文章排行
- 我国氢能产业发展迎来重要窗口期
- 关于矿用整流柜的使用环境
- 整流柜有哪些外形特征?
- 关于高频开关电源发展的四大趋势
- 我国新能源发展现状
- 国家能源局:可再生能源,完善绿色电力
- 氢能在工业领域的妙用:你知道多少?
- 国家能源局组织发布《新型电力系统发展蓝皮书》
- 2023世界氢能技术大会中外对话:氢能国际合作机遇与挑战
- 中国氢能产业具备10万亿规模潜力







关注微信
手机网站
微信咨询